Zavřít
dnes je 7.2.2026

Input:

Statistická regulace srovnáváním

1.11.2011, , Zdroj: Verlag Dashöfer

17.7.2
Statistická regulace srovnáváním

Doc. Ing. Alois Fiala, CSc., Ing. Monika Becková a kolektiv autorů

REGULAČNÍ DIAGRAM p

Využití regulační ho diagramu p

Regulační diagramy p se s výhodou používají tam, kde pozorování procesu je založeno na srovnávání aktuálních výstupů z procesu se stanoveným etalonem pro daný výstup. Typickým příkladem je kontrola součástí pomocí kalibrů. Kalibrem se nezjišťuje velikost kontrolovaného rozměru, ale pouze ta skutečnost, zda vyhoví "dobrá“ strana kalibru a naopak nevyhoví "zmetková“ strana kalibru. V takovém případě se součást považuje za shodnou; v opačném případě je neshodná. Analogicky všechny metody ověřování, jimiž třídíme jednotky v kontrolovaných souborech na shodné a neshodné lze využít jako základnu ke sběru dat pro aplikaci regulačního diagramu p. Tento typ regulačního diagramu je tudíž použitelný jak ve výrobních procesech, tak v procesech předvýrobních a povýrobních; velké rozšíření by měla tato metoda statistické regulace doznat v procesech služeb a procesech administrativních - všude tam, kde lze obtížně "výrobky“ měřit, ale vždy je možné srovnávat je se stanoveným vzorem (etalonem). Významným faktem pro aplikaci metody je, že rozsahy ověřovaných souborů (dávek) nejsou v čase konstantní.

Podobně jako při statistické regulaci měřením je třeba rozlišovat tři základní etapy:

  • etapa identifikace procesu;

  • etapa stabilizace procesu;

  • etapa průběžné regulace procesu.

Pravidla pro vedení regulačního diagramu stanoví směrnice pro aplikaci statistických metod a konkrétní činnosti jsou uvedeny v příslušném standardním postupu. Důležité je uvedení odpovědností zúčastněných pracovníků - jak v oblasti rozhodování, tak v oblasti výkonné.

Další výklad bude veden tak, že nejprve bude popsán postup při identifikaci procesu a postupně další etapy. Z metodických důvodů je postup rozdělen do několika kroků.

Sběr dat

Krok 1: sběr dat

Pozorování procesu se organizuje jako časová řada ověřování po sobě jdoucích souborů - dávek nebo náhodných výběrů z dávek. Výběr bude použit v případech, kdy rozsahy dávek jsou značné - např. výroba součástí na obráběcím automatu nebo balení bonbonů na balicím automatu - a individuální kontrola každé součásti by byla časově příliš náročná. Základem pro tento přístup je splněný předpoklad, že seřízený stroj vyrábí shodné výrobky a odchylka od seřízení se dá zachytit i kontrolou výběrových vzorků. Časové rozlišení je důležitou podmínkou pro regulaci - každou dávku lze považovat za vzorek produkce vznikající v procesu; kromě toho je nutná identifikace dávky v čase také pro zpětnou sledovatelnost při řízení neshodných výrobků a realizaci nápravných opatření. Podle konkrétních poměrů lze brát jako dávku:

  • výrobní dávku;

  • dopravní dávku;

  • množství produkce za den;

  • množství produkce za směnu;

  • množství produkce za jinou jednotku času atd.

Množství jednotek v dávce (ve výběru) by mělo být nejméně 50 (v krajním případě 20), horní hranice není omezena; je dána tím, jak je stanovena dávka (logická podskupina - viz ČSN ISO 8258).

Každá dávka se předepsaným způsobem zkontroluje a zjistí se počet neshodných jednotek. Záznam o výsledku ověřování (kontroly srovnáním) obsahuje následující údaje:

  • identifikační údaje ověřované dávky;

  • rozsah dávky (počet jednotek v dávce) n;

  • počet neshodných jednotek np.

Záznamy jsou vedeny ve speciálním formuláři pro regulační diagramy srovnáváním - viz obrázek. Na rozdíl od regulačních diagramů měřením, které jsou založeny na předpokladu normálního rozdělení náhodné veličiny, a proto se vede současně dvojice diagramů - pro polohu a rozptýlení, náhodná veličina p se řídí binomickým rozdělením; z toho důvodu stačí jednodílný regulační diagram.

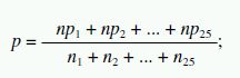
Ze zjištěných hodnot n a np se vypočítá podíl nehodných jednotek v dávce p:

Tato hodnota se vyznačí do grafického pole formuláře. Vodorovný směr představuje časovou osu - čas je udán buďto příslušnou jednotkou (např. datum dne, hodina a den a pod.), nebo pořadím dávky (pokud čas vzniku dávky je evidován na jiném místě). Uvedeným způsobem se postupně získávají údaje o procesu. Poněvadž záznamy jsou vedeny s časovým rozlišením, průběh veličiny p dává informaci o vývoji stochastického procesu. Počet pozorování, která se zaznamenají na jeden formulář bývá zpravidla 25, podobně jako při statistické regulaci měřením.

Určení regulačních mezí

Krok 2: určení regulačních mezí

Nejprve se musí vypočítat průměrná hodnota podílu neshodných jednotek v dávce, která je důležitou charakteristikou procesu. Průměrná hodnota se vztahuje k celému souboru 25 dávek, proto se počítá jako podíl všech neshodných jednotek a všech kontrolovaných jednotek:

V demonstračním příkladu ¯p = 0,021.

Průměrná hodnota ¯p se zakreslí do grafu (viz obrázek); tím se průběh procesu přichytí ke střední čáře a již lze vizuálně hodnotit tendence jakosti procesu.

Regulační meze jsou ve vzdálenosti 3σp od střední čáry. Směrodatná odchylka se vypočítá podle vztahu:

Hodnota ve jmenovateli se dosazuje podle toho, jaká situace z následujících možností nastane:

a) 0,75 ¯n ≤ nj ≤ 1,25 ¯n všechny individuální hodnoty rozsahů dávek nj se nachází v intervalu ± 0,25 ¯n. Pak za n* se dosadí ¯n a hodnota σp = konst. pro celý regulační diagram.

b) Několik hodnot nj leží mimo interval ± 0,25 ¯n => za n* se dosadí ¯n a pro výběry u nichž je nj vně intervalu se dosadí toto příslušné nj. Pak pro většinu regulačního diagramu je σp = konst. a pro zmíněných několik výběrů je buďto menší, anebo větší.

c) Většina hodnot nj leží mimo interval ± 0,25 ¯n => za n* se dosazuje nj. Pak pro každý výběr existuje vlastní hodnota σpj.

Průměrný rozsah dávky (výběru) se vypočítá podle vztahu:

V demonstračním příkladu je ¯n = 171,28. Dávky č. 1, 2, 5, 6, 12, 13, 15, 16, 17 a 24 leží svými hodnotami mimo interval ± 0,25 ¯n a proto pro ně musí být vypočteny individuální hodnoty σp.

Pro průměrný rozsah dávky vychází σp = 0,011.

Regulační meze pro p se stanoví podle vztahu:

UCL = ¯p + p

LCL = ¯p – p

Podle toho, co bylo uvedeno výše o výpočtu směrodatné odchylky σp je zřejmé, že mohou nastat tři varian ty zakreslení regulačních mezí:

  • konstantní čáry v celém regulačním diagramu,

  • konstantní čáry pro větší část regulačního diagramu a pro zbytek individuální hodnoty,

  • individuální hodnoty v rozsahu celého regulačního diagramu.

V praxi může nastat ještě jedna možnost: 3σp > ¯p => LCL < 0. Podíl neshodných jednotek nemůže být záporný. Proto se v takových případech klade LCL = 0.

Řešení v demonstračním příkladu je následující: 3σp = 0,033 > 0,021 => LCL = 0. Celý regulační diagram je na obrázku.

Hodnocení procesu podle regulačního diagramu

Krok 3: hodnocení procesu podle regulačního diagramu

Regulační diagram se vyhodnocuje stejně jako při regulaci měřením. Výskyt příznaků podle testů signalizuje působení vymezitelných příčin. V takovém případě je nutno identifikovat příčiny, navrhnout a realizovat nápravná opatření. Pravidla a popis příslušných činností, včetně odpovědností pracovníků uvádí směrnice a standardní postupy pro statistické metody.

V demonstračním příkladu došlo k překročení UCL u dávek č. 12 a 25 (viz obrázek).

Hodnocení způsobilosti procesu

Krok 4: hodnocení způsobilosti procesu

Realizací nápravných opatření se z procesu odstraní vliv vymezitelných příčin a proces se uvede do statisticky zvládnutého stavu.

Není-li zadána požadovaná hodnota úrovně jakosti (takovou může být např. dohodnutá přípustná úroveň jakosti AQL) pak záleží na vedení firmy, jak podle přijaté politiky jakosti bude problém řešit. V každém případě, čím větší je hodnota ¯p, tím důkladnější musí být následná kontrola (vyšší náklady na sledování) a rovněž vyvolané náklady na opravy neshodných výrobků, popř. ztráty plynoucí z neopravitelných neshodných výrobků rostou.

Je-li zadána limitní hodnota úrovně jakosti, pak zpravidla za způsobilý proces se považuje takový, kde ¯p > AQL. Ovšem určitá část produkce (dávky, pro něž pj > AQL) bude nevyhovující. Má-li mít řízení procesu smysl, pak by jeho stabilizovaná (statisticky zvládnutá) úroveň jakosti měla být taková, že výstupní kontrola (stoprocentní nebo výběrová) bude většinu dávek uvolňovat jako shodné. Na základě této úvahy platí, že AQL = UTL, přípustná úroveň jakosti je horní toleranční mezí.

Analogicky s regulací měřením vychází pro dosažení cpk ≥ 1,33 následující podmínka:

pomocí nápravných a preventivních opatření postupně zlepšovat proces tak, aby platilo, že ¯p1/4 AQL.

Takto seřízený proces poskytuje výstupy, které při přejímce budou většinou přijaty. Střední hodnota a regulační meze, které jsou uznány jako vyhovující pro řízený proces se zakreslují do formulářů pro průběžné sledování procesu a jeho regulaci. Cílem této regulace je udržení procesu na té úrovni jakosti, k níž byl přiveden v průběhu etapy stabilizace procesu.

REGULAČNÍ DIAGRAM np

Někdy mohou být dávky konstantního rozsahu - v hromadné výrobě je to otázka organizace. Velmi často se setkáme s výběry konstantního rozsahu při výběrové kontrole, kdy rozsahy výběrů jsou odstupňovány pro určité intervaly rozsahů dávek a pro různě velké dávky zůstávají stejné. Ve všech takových případech platí nj = konst. = n. Zde ovšem není nutné počítat pro účely regulace procesu podíl neshodných jednotek, poněvadž proměnná je pouze hodnota počtu neshodných jednotek ve výběru np. Proto v těchto případech lze regulaci procesu realizovat na bázi regulačního diagramu np. Použít lze stejný formulář jako pro regulační diagram p. Platí rovněž všechna další obecná ustanovení, uvedená u předešlé metody.

Sběr dat

Krok 1: sběr dat

Pozorování procesu spočívá v periodickém odebírání výběrů stanoveného rozsahu. Pověřený pracovník zaznamenává do formuláře výsledky kontroly jednotlivých výběrů. Důležité je zachování časové posloupnosti prováděné kontroly a záznamů, aby v případě zjištění vymezitelných příčin mohla být připravena a uskutečněna účinná nápravná opatření. Do řádku pro rozsah dávky (výběru) stačí uvést na začátku správný číselný údaj a šipkou až do konce řádku naznačit, že toto číslo se v průběhu regulace nemění. Do druhého řádku se zapisují skutečně zjištěné počty neshodných jednotek (np). Třetí řádek zůstává prázdný, poněvadž podíl neshodných se nepočítá. Současně se zápisem do tabulky se zakreslují do grafického pole body odpovídající hodnotám np. Obrázek ukazuje příklad záznamu po dokončení celé série - průběhový diagram procesu.

Určení regulačních mezí

Krok 2: určení regulačních mezí

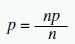
Nejprve se vypočítá průměrná hodnota procesu. Poněvadž rozsah výběru je konstanta, jedná se o jednoduchý výpočet aritmetického průměru (viz schéma):

V demonstračním příkladu vychází n ¯p = 16,2.

Vypočítaná hodnota se zakreslí do grafu - viz obrázek k demonstračnímu příkladu. Tím se získá první představa o chování procesu, např. celkový trend průběhového diagramu vůči střední čáře, která je konstantou

Dasi - digitální asistent
Dasi
Nahrávám...
Nahrávám...